电话:0577-67989360

安全阀排气时反作用力是如何计算的?

编辑:gaoda 发布时间:2009-08-08 16:35:52 浏览量:1681

  如图2-26所示,安全阀排放时,大量气体或蒸汽以音速或亚音速排出,给予阀门巨大的反作用力,对阀门与设备连接处产生很大的力矩。计算安全阀与设备连接部位的强度时,必须考虑到上述排气反作用力。


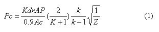
  设安全阀通过排放管向大气排放,排放管道出口截面处压力可按下式计算:

式中:Pc--排放管出口截面处绝对压力,Pa;
   P --排放时阀进口绝对压力,Pa;
   Kdr--安全阀额定排量系数;
   A--安全并流道面积,m2;
   Ac--排放管出口截面积,m2;
   k--气体绝热指数;
   Z--气体压缩系数。
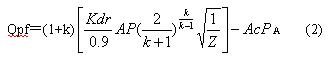
  若Pc大于或等于大气压力,则排气速度为音速,此时,排放反作用力按下式计算;

式中:Qpf--排气反作用力,N;
   PA--大气压力,PA=1.013×105Pa。
  若PA小于大气压力,则排气速度为亚音速。此时,排气反作用力按下式计算:


  考虑到安全阀排气反作用力具有冲击载荷的性质,通常还需对计算得出的排气反作用力Qpf乘以动载系数ζd。动载系数ζd的计算程序如下:
  ①安全阀装置周期按下式计算:

式中:T--安全阀装置周期,s;
   W--安全阀、安装管道、法兰、附件等的重量,N;
   L--从被保护设备到安全阀出口管中心线的距离,mm;
   E--安全进口管在设计温度下的杨氏模量,MPa;
   I--进口管惯性矩,mm3。
  ②计算比值tk/T。此处,tk为安全阀开启时间,即安全阀从关闭状态到全开启的动作时间(s)。
  ③根据比值tk/T查得动载系数ζd,ζd的值为1.1~2.0。